石田 和哉
16日の米国市場はFRB理事の発言「コアインフレは想定したほど低下していない」とし「インフレ低下に向け、おそらくもう少し引き締める必要があるだろう」と述べたことを受け利上げサイクルが終わりに近づいているとの楽観的な見方を打ち消す形となり、米国市場は小幅に値を下げる展開となった。
同日発表された6月の消費者信頼感指数は上昇し、4か月ぶりの高水準となり、1年先のインフレ期待は3.3%と、2021年3月以来の低水準となった。
年内の追加利上げを警戒した形となっており、どの様な展開となるのか、注意したい所だ。
(ダウ推移)
(Reutersより)
6月4週の注目ポイント(経済指標)
時間表記:日本時間
6月21日(水)
08:50 日銀・金融政策決定会合議事要旨
23:00 米国パウエル米連邦準備理事会(FRB)議長、発言
6月22日(木)
16:30 スイス国立銀行3カ月物銀行間取引金利誘導目標中心値
20:00 英中銀金融政策委員会(MPC)議事要旨
20:00 イギリスイングランド銀行(BOE、英中央銀行)金利発表
23:00 米国パウエル米連邦準備理事会(FRB)議長、発言
6月23日(金)
08:30 日本5月全国消費者物価指数(CPI、生鮮食料品除く)(前年同月比)
08:30 日本5月全国消費者物価指数(CPI)(前年同月比)
08:30 日本5月全国消費者物価指数(CPI、生鮮食料品・エネルギー除く)(前年同月比)
日米市場
日本市場は底堅い展開に。
日本市場は日経平均33706.08円と33年ぶりの高値の更新となっており、どこまで値を上げるのか?勢いの止まらない展開となっている。
日銀政策決定会合や消費者物価指数などの発表もあり、さらに一段高となるのかどうか?注目していきたい所となっている。
米国市場は週末に値を下げる展開となったが、基調は堅調であり、週明けの休場後は堅調な推移となりそうだ。
今週21日水曜日と22日木曜日の米国パウエル米連邦準備理事会議長、発言には注意したいところだが、織り込み済として堅調に推移しそうだ。
(33年ぶりの高値更新となる日本市場)
(Reuterより)
欧州市場
欧州市場は英国・EU市場ともに値を上げる展開となっている。
英国市場は公益事業株などのディフェンシブ銘柄に買いが入り、市場をけん引。
EU市場ではルイヴィトンやリシュモンなどラグジュアリーブランド企業が値を上げる展開となり市場をけん引する形となっている。
英国FTSEは1週間で+1.06%、EU市場は1.48%の上昇となっている。
22日に発表される英国中央銀行議事要旨、政策金利発表などに注目と言った所だ。
(LVMH Moet Hennessy Louis Vuitton SE 推移)
(Reutersより)
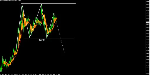
今週の為替(USD/CAD)

USD/CAD 日足
USD/CAD日足では三角持ち合いからの下抜けとなっている。
上昇トレンドからの値下がりではあるが、直近のトレンドの38.2%付近からの下抜けとなっており、ここからの下降は50%となる1.29900を意識してのトレンド形成となりそうだ。
レンジ・三角持ち合いの期間が非常に長かったことで下抜け以上の価格でポジションを保持している層も多くあると思われる事から急な戻りには注意したい所だ。
週足で見た場合には1.2000でのトリプルボトムとなり反発の可能性がみられることから長期で見た場合にはある程度の下降も可能性としてありそうだ。
