石田 和哉
20日の米国市場は横ばいで取引を終えている。
FOMCにて発表されたFRBによる大幅利下げを好感した買いが一服した形となっており、上昇ではなく、現状維持という形で推移した格好だ。
また、スポーツ大手ナイキが市場を底支えする形となった事も、20日の米国市場のダウ高値更新の一助となった。
TDウェルスのチーフストラテジスト、シド・バイディア氏はFRBが今週の会合で大幅利下げを実施したことについて、「50ベーシスポイントの利下げ幅を予想していた市場参加者も確かにいたかもしれないが、そうではない見方が大勢だったため、市場は依然として再調整の動きとなっている」と述べた。
週間ではダウが1.62%、S&P500総合が1.36%、ナスダック総合が1.49%高となっている。
また、フィデックスが15%を超える急落となり、ダウ運輸株を引き下げる形となった。
(米ダウ推移) 
(Reutersより)
9月4週の注目ポイント(経済指標)
時間表記:日本時間
9月25日(水)
23:00 米国 8月新築住宅販売件数(年率換算件数)
23:00 米国 8月新築住宅販売件数(前月比)
9月26日(木)
08:50 日本 日銀・金融政策決定会合議事要旨
21:30 米国 4-6月期四半期実質国内総生産(GDP、確定値)(前期比年率)
22:20 米国 パウエル米連邦準備理事会(FRB)議長、発言
9月27日(金)
21:30 米国 8月個人消費支出(PCEデフレーター)(前年同月比)
21:30 米国 8月個人消費支出(PCEコア・デフレーター、食品・エネルギー除く)(前月比)
21:30 米国 8月個人消費支出(PCEコア・デフレーター、食品・エネルギー除く)(前年同月比)
21:30 カナダ 7月月次国内総生産(GDP)(前月比)
21:30 カナダ 7月月次国内総生産(GDP)(前年同月比)
日米市場
日本市場は200日移動平均線をわずかに上回る形となっているが、この状態がいつまで続くのか?といったところとなっている。
100日移動平均線と245日移動平均線で挟まれた価格での推移となっており、丁度200日移動平均線を意識する部分での推移となっている。
日銀による金利の引き上げと米国FRBによる金利に引き下げと相反する政策が為替に影響を及ぼし、企業業績となり日経平均に影響を及ぼすという流れとなっている。
年末に向けて一段高とは考え難いが安値を試すことも考えにくく、米国次第という流れは暫く続くのではないのだろうか。
(日経平均推移)
(TradingViewより)
欧州市場
欧州・英国市場共に米FRBによる金利引き上げを好感した大幅高からの反動を見せ、値を下げる展開となっている。
英国市場は上記展開に加えて、英小売売上高が市場予想を上回った事でポンドが上昇し、輸出企業株が売られて市場を押し下げるという流れに繋がったようだ。
欧州も同様に、FRBによる利下げ好感を受けた急騰からの反動に加えて、デンマーク大手の製薬会社ノボノルディスクの治験データが期待外れに終わった事を失望しての売りが市場を押し下げる形となっている。
また、ドイツのメルセデスベンツが通期目標を引き下げた事による経済情勢の悪化、自動車関連銘柄の軟調なども影響を及ぼしている様だ。
(STOXX欧州600種ヘルスケア株指数推移)
(Reutersより)
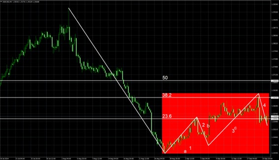
今週の為替(USD/CAD)

USD/CAD 4時間足について解説したいと思う。
まず、USD/CADの4時間足で注意したいのは、波動論での推進波1-4であるのか、調整波a-cであるのかの判断が付きにくい部分がある。
波動論が形作られた時代の米国市場には「売り」という概念がなく、推進波は上昇として調整波は下降として描かれるのだが、現在の市場には「売り」が存在することから、調整波a-cで上昇を示している可能性も見て取れる。
調整波での上昇でも、推進波1-4波での上昇でも、直近の下降トレンドの高値安値の23.6%と38.2%を意識した推移となっており、赤枠のレンジを抜けると高値安値の50%となる1.36920までの上昇で推移すると思われる。
下降となる場合には、日足上で意識される可能性のある1.33450付近を意識する展開となりそうだ。
下値を探る場合には1.33400~1.35900が下値支持線、下値として意識されるレンジとなる場合もあり、注意を行いたいところとなっている。
