石田 和哉
25日の米国市場はナスダック総合が続伸する形となった。
エヌビディアは時価総額がアップルを抜いて世界首位に返り咲いており、人工知能向けの半導体の旺盛な需要が株価を押し上げた格好となっている。
アネックス・ウェルス・マネジメントのチーフエコノミスト、ブライアン・ジェイコブセン氏は、「テスラの数字は、超大型7銘柄『マグニフィセント・セブン』の上昇トレンドがまだ終わっていないという楽観的な見方を再び高めた」と述べた。自動車大手テスラの株価は24日、22%近く急騰し、2013年5月以来11年ぶりの大幅高となっている。
(米ナスダック推移) 
(Reutersより)
10月最終週の注目ポイント(経済指標)
時間表記:日本時間
10月30日(水)
18:00 ドイツ 7-9月期国内総生産(GDP、速報値)(前期比)
18:00 ドイツ 7-9月期国内総生産(GDP、速報値)(前年同期比)
18:00 ドイツ 7-9月期国内総生産(GDP、速報値、季調前)(前年同期比)
19:00 ユーロ 7-9月期四半期域内総生産(GDP、速報値)(前期比)
19:00 ユーロ 7-9月期四半期域内総生産(GDP、速報値)(前年同期比)
21:15 米国 10月ADP雇用統計(前月比)
21:30 米国 7-9月期四半期実質国内総生産(GDP、速報値)(前期比年率)
10月31日(木)
--:-- 日本 日銀金融政策決定会合、終了後政策金利発表
--:-- 日本 日銀展望レポート
15:30 日本 植田和男日銀総裁、定例記者会見
19:00 ユーロ 10月消費者物価指数(HICP、速報値)(前年同月比)
19:00 ユーロ 10月消費者物価指数(HICPコア指数、速報値)(前年同月比)
21:30 米国 9月個人消費支出(PCEデフレーター)(前年同月比)
21:30 米国 9月個人消費支出(PCEコア・デフレーター、食品・エネルギー除く)(前月比)
21:30 米国 9月個人消費支出(PCEコア・デフレーター、食品・エネルギー除く)(前年同月比)
11月1日(金)
21:30 米国 10月非農業部門雇用者数変化(前月比)
21:30 米国 10月失業率
21:30 米国 10月平均時給(前月比)
21:30 米国 10月平均時給(前年同月比)
23:00 米国 10月ISM製造業景況指数
日米市場
日本市場は38,000円を割り込む水準にまで低下している。
米国市場は好調な展開で推移しているなかで、日本で行われる衆院選の結果への不安が強くでる展開となっており、「選挙は買い」と言われる相場が崩れる展開となっている。
与党が単独過半数を割り込んだ場合、正常な経済対策、国政のかじ取りが取れなくなる可能性もあり、投資家にとっては好調な米国市場を横目に静観相場が続いている。
選挙の結果次第では日経平均も大きく動く可能性があり、10月27日の選挙結果次第で今週は大荒れの展開となる可能性もありそうだ。
(日経平均推移)
(MT5より)
欧州市場
欧州・英国市場共にまちまちの展開で週を終えているが、週間では下落となっている。
英国市場は30日に発表される労働党新政権の初めての予算案という事から様子見が強くなっており、企業決算の内容も良し悪し入り乱れる形となった事から、FTSE100種はじりじりと値を下げる展開となっている。
欧州市場は週間で1.18%の下落となっており、自動車関連、家電メーカー関連が冴えず市場の上値を抑える格好となった。
(STOXX欧州600推移)
(Reutersより)
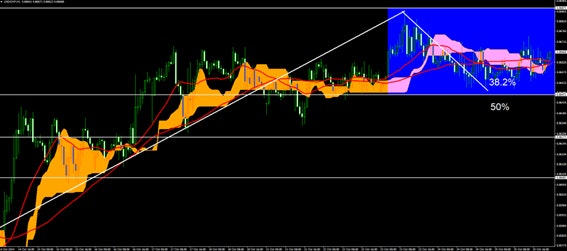
今週の為替USD/CHF

USD/CHFの4時間足について解説したい。
一目均衡と移動平均線を表記したが、現在は青枠でのレンジ相場となっている。
レンジの下抜けとなった場合には直近の上昇トレンドの高値安値の38.2%や50%が意識される形となっている。
38.2%は0.86270付近、50%は0.86000付近となっており、レンジの下値0.86470を下に抜ける形が、ある程度の値幅の取れる流れとなりそうだ。
レンジがどこまで続くのか?日足で見た場合には上昇となる可能性もある部分となっていることから、長期での保持の場合には上値0.86870を確りと抜けてくれば高値続伸、上昇トレンドの発生となるだろう。
