石田 和哉
5月2日の米国市場は発表された4月の雇用統計は、非農業部門雇用者数が前月比17.7万人増と市場予想の13万増を大きく上回る形となった事が、トランプ政権による大規模な関税措置での労働市場底堅く推移しているとの見方が多勢を占める形となった。
グレンミードの投資・調査・戦略責任者、ジェイソン・プライド氏は、雇用統計を受け、「FRBは年内の利下げに対しより忍耐強い姿勢を取ることが可能になるだろう」と指摘。「関税措置によるスタグフレーションリスクに直面する中、FRBは停滞とインフレのどちらが今後の見通しにとってより大きなリスクかをリアルタイムで見極めようとしている。労働市場の健全性が続いていることは、経済がすぐに崩壊するような状況ではないという安心感をFRBに与え、関税がインフレに与える影響を評価するための時間的余裕が生まれるだろう」と述べたるなどした。
また、中国政府が「合成麻薬フェンタニルの米国流入を巡るトランプ政権の懸念に対応する方策を検討している」と報じ、貿易交渉開始に向けた手がかりを模索している可能性を示唆したとの報道され、米国市場は堅調な展開で推移している。
(ダウ平均 推移) 
(Reutersより)
5月第1週の注目ポイント(経済指標)
時間表記:日本時間
5月5日(月)
23:00 米国 4月ISM非製造業景況指数(総合)
5月7日(水)
27:00 米国 米連邦公開市場委員会(FOMC)、終了後政策金利発表
27:30 米国 パウエル米連邦準備理事会(FRB)議長、定例記者会見
5月8日(木)
20:00 英国 イングランド銀行(BOE、英中央銀行)金利発表
20:00 英国 英中銀金融政策委員会(MPC)議事要旨
日米市場
日本市場は日経平均36830.69円で週を終えている。
日本市場は1か月で5,700円の値戻り、1週間で1,440円の戻りと大幅に値を戻す展開となっている。
トランプショック前の水準にまであとわずかと、トランプ政権による一連の下落からほぼ回復となっており、思いのほか底堅い日本市場6月~の25年度後半に向けた幸先の良い流れを起こせるのか?期待の出来る展開となっている。
トランプ政権による一連の行動が市場の反応、世情の反発を受け前言撤回や制限の緩和など、世間に迎合する動きを見せている事も市場の安心、米国による強権発動の可能性の低下の可能性など市場にとっての安心材料が増えている事も追い風となっているようだ。
(日経平均推移)
(Reutersより)
欧州市場
英国・欧州市場共に値を上げる展開となった。
米中貿易摩擦の緩和への期待に加え、米国雇用統計で米国経済の底堅さが示された事もあり、投資家心理が改善、英国・欧州市場共に買い優勢の展開となっている。
日本市場と同様に英国・欧州市場もトランプ政権による一連の市場の反応前の水準にまで値を戻しており、米国と主要貿易国との協議への期待感、企業行政の好調な流れなど追い風の吹く展開となっている。
最大の懸念、米中貿易摩擦がどの様な展開となるのか?注目したい所となっている。
(英FTSE100推移)
(Reutersより)
今週の為替
USD/JPY
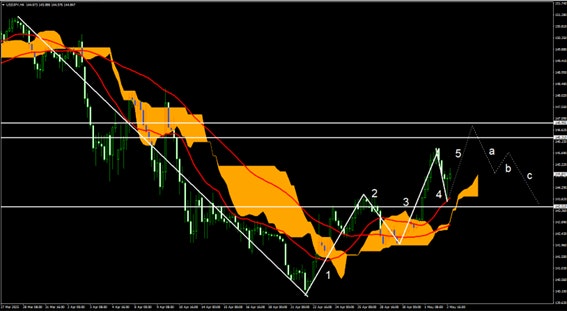
USD/JPYについて解説をしていきたい。
USD/JPY4時間足上では上昇トレンドの推進第4波の形成がなされている。
上昇トレンドである事から2波と3波で形成された安値よりも高い位置で値を戻せば第5波の発生となり、その場合には3波と4波を超える価格までの上昇の波に乗ることができる。
その後はダウ理論の切り下げが発生し、トレンドの転換の起こる調整波の形成と波が変化していく形となっている。
推進波5波の後は調整波a-c波となっており、c波までの推移で下降、若しくはレンジへと転化する形となる。
現時点でのトレードのシナリオは4波の底値を確認した後に打診買いを行い、3-4波での高値を抜ければ処分、その後は5波の形成を待ち売りに転換、a-b波の切り下げが起こる部分で処分と言う流れが考えられそうだ。
