石田 和哉
10日の米国市場はトランプ大統領が自身のソーシャルメディアにて中国に対する関税措置を11月から100%へと引き上げると発表した事、中国国家主席との会談を「そうする理由がない」としたことを受け市場は貿易戦争再燃を懸念し、全面安の展開となった。
中国に対する関税が現行30%(発動猶予24%)に100%が加われば、今春の145%の対中関税に匹敵、超える可能性があり、市場では貿易戦争の勃発、再燃に懸念・不安視の姿勢が強くなっている。
米ダウは878.82ドル(1.90%)、ナスダック総合は820.20(3.56%)、S&P500種は182.60(2.71%)と3市場共に大きく値を下げる展開となった。
カーソン・グループのチーフ・マーケット・ストラテジスト、ライアン・デトリック氏は「トランプ大統領の投稿が唐突だったため、ボラティリティが極端に高まった」と指摘。「世界第1位と第2位の経済大国の言い争いが再燃したことで、週末を控えまず売って、その後で真偽を確認しようとする心理が働いた」と述べるなど緊張の度合いが高まっており、週明けの市場は荒れ模様となる可能性もありそうだ。
(米ダウ推移) 
(Reutersより)
10月第3週の注目ポイント(経済指標)
時間表記:日本時間
10月14日(火)
24:30 米国 パウエル米連邦準備理事会(FRB)議長、発言
10月15日(水)
21:30 米国 9月消費者物価指数(CPI)(前月比)
21:30 米国 9月消費者物価指数(CPI)(前年同月比)
21:30 米国 9月消費者物価指数(CPIコア指数)(前月比)
21:30 米国 9月消費者物価指数(CPIコア指数)(前年同月比)
10月16日(木)
15;00 英国 8月月次国内総生産(GDP)(前月比)
21:30 米国 9月小売売上高(前月比)
21:30 米国 9月小売売上高(除自動車)(前月比)
10月17日(金)
18:00 ユーロ 9月消費者物価指数(HICP、改定値)(前年同月比)
18:00 ユーロ 9月消費者物価指数(HICPコア指数、改定値)(前年同月比)
日本市場
日本市場は48,088.80円で週を終えており、週間では1,452.73円、1か月では3,716円の上昇となっている。
日経平均48,000円台を超えてきて好調な展開といいたいところではあるが、10日の米国市場がトランプ大統領の中国に対する追加関税を11月から発動、100%の追加関税であり、習近平氏との会談も「そうする理由がない」と対中に対して突然の強硬発言をしたことで米国市場は大きく値を下げる形に。
CMEシカゴ先物取引では日経平均は2,420円の下落と週明けの日本市場は大きく値を下げる展開となる可能性が出てきている。
45,000円台へと逆戻りしてしまう可能性もあり、追証や手放し売り、利益確定を急ぐ流れなど一波乱もありそうだ。
(日経平均推移)
(Reutersより)
欧州市場
欧州・英国市場共に値を下げる展開となった。
トランプ大統領による対中関税の大幅引き上げの表明が米中貿易戦争再燃による経済への影響を懸念する動きが広まり値を下げる展開となった。
両市場ともにトランプ大統領の一連の行動による不安だけではなく、英国では利益確定の売りが、欧州ではフランスの政局混乱への対応が注目されておりトランプ大統領の動きはそれらの懸念の背中を押した格好となっている。
フランスの財政見通し、政治的混乱と欧種市場はフランス経済の見通し・政局の見通しに一喜一憂する状況がしばらく続きそうだ。
(STOXX欧州600推移)
(Reutersより)
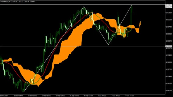
今週の為替(EUR/NZD)

EUR/NZD4時間足について解説したいと思う。
前回のレポートでEURNZDの4時間足が波動論上の第3波を形成しつつあるとしたが第1波・2波で形成された高値を抜け、その流れが形成されつつあることから、前回に引き続いての解説となる。
トランプ大統領の自身のソーシャルメディアでの発言、対中貿易関税を11月から100%引き上げる、習近平国家主席との会談を「そうする理由はない」としたことによる急上昇が第3波の形成の可能性を引き出した形となっている。
流れ的には外部的要因、米国と中国の対応、関税に関する問題の進捗次第とはなってしまうが、今の段階では第3波の形成が近づいたと言える。
