石田 和哉
7日の米国市場は連邦政府機関の閉鎖が過去最長となり、様々な分野で影響が出ていることから経済情勢の見通しへの悪影響が懸念され市場は上値の重い展開となった。
場中に与野党進捗状況の進展を受け下げ幅を縮小する形となったものの、つなぎ予算の成立を巡る与野党間での対立が長引く可能性もまだ存在し、まだまだ予断を許さない状況となっている。
USバンク・ウェルス・マネジメントのチーフ株式ストラテジスト、テリー・サンドベン氏は、株価は史上最高値を更新し、バリュエーションが高騰する中、政府閉鎖が解決すれば「明らかに市場心理は改善するだろう」と指摘。同時に、少しの悪材料でも大きな下落を引き起こす可能性があるとの見方を示すなど、いつ何が起こってもおかしくない状況ともなっている。
(米ダウ推移) 
(Reutersより)
11月第2週の注目ポイント(経済指標)
時間表記:日本時間
11月13日(木)
16:00 イギリス7-9月期四半期国内総生産(GDP、速報値)(前期比)
16:00 イギリス7-9月期四半期国内総生産(GDP、速報値)(前年同期比)
22:30 米10月消費者物価指数(CPI)(前月比)
22:30 米10月消費者物価指数(CPI)(前年同月比)
22:30 米10月消費者物価指数(CPIコア指数)(前月比)
22:30 米10月消費者物価指数(CPIコア指数)(前年同月比)
11月14日(金)
08:50 日銀・金融政策決定会合議事要旨
22:15 米国10月ADP雇用統計(前月比)
24:00 米国10月ISM非製造業景況指数(総合)
日本市場
日本市場は50276.37円で週を終えており、週間では1353.43円安、1か月では1695円の上昇となっている。
先週の日経平均52,000円から2000円近い下落となっており、日経平均の方向性が今一つはっきりしない、52,000という節目を達成したことによる手放し売りなのかといった所ではあるものの、調整局面として捉えればまだしばらくは50,000を挟んでの推移が続きそうだ。
米国でのつなぎ予算を巡る与野党の攻防に決着が付かず、連邦政府機関の閉鎖が長引くほど経済への影響が強くなることから1日も早い決着を望みたいところではある。
米国が大きく値を下げるようなことがあれば、日経平均は50,000円台を割り込む可能性もあり、大きく割り込むようであれば50,000円が上値として意識される形となる。
その場合には年内での50,000円台到達も難しくなることから、米国での一連の問題の早期解決を願いたいところとなっている。
(日経平均推移)
(Reutersより)
欧州市場
欧州・英国市場共に値を下げる展開となった。
週間ベースでみると英国市場は0.36%、STOXX欧州600は1.26%の下落となっている。
AIへの過剰投資、ハイテク系の株価高への警戒感が強くなっており、それに加えて米国での連邦政府機関の閉鎖問題などが投資家の警戒心を呼び起こし、市場は買いを手控える形での展開となっている。
AI関連銘柄が市場の牽引の一助をになっているが、過加熱、過剰の投資という側面も問題となって意識されるようになってきており米国での連邦政府機関の閉鎖問題での進捗次第では荒れ模様となる可能性もある。
(STOXX欧州600推移)
(Reutersより)
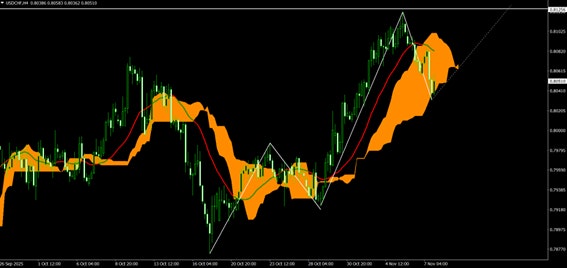
今週の為替(USDCHF)

USDCHFの4時間足について解説したいと思う。
波動論上では推進波第4波の形成中として捉える見方が一般的となりそうだ。
第3波がすでに終了していると思われることから第5波での上昇は小さいものになると思われ、5波後のa-c波でのトレードとそこから再度生まれる1-5波の流れに乗るトレードと2段階で考えられる。
一目上でも波動論第4波~5波の勢いを裏付け転換線>基準線で強気のサインが出ており雲の上限付近での押し目の形成でもあることから上昇トレンド継続、第5波の形成という形を後押しする形となっている。
順当に第5波が発生した場合には0.8125が利益確定のゾーンに0.8080付近が押し目からの回復局面の初動・分岐に0.8040付近が再上昇を行うための起点、グランビルの法則上でも同様の判断に、0.8010付近が売りに転じる可能性のある転換価格帯となりそうだ。
